Précédente

Accueil

Suivante

 

 

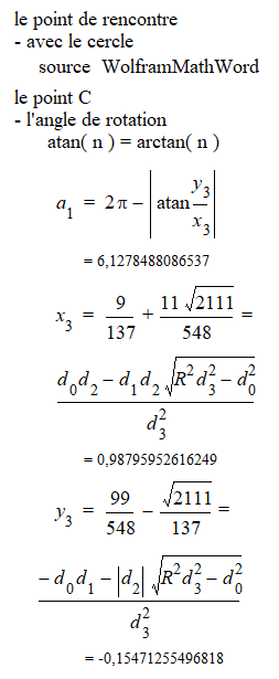
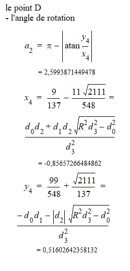
Le point de rencontre entre la droite et le cercle

Une image contenant texte, diagramme, capture d’écran, Police

Description générée automatiquement

Une image contenant texte, capture d’écran, diagramme, Police

Description générée automatiquement

Une image contenant texte, Police, écriture manuscrite, capture d’écran

Description générée automatiquement

Une image contenant texte, Police, écriture manuscrite, capture d’écran

Description générée automatiquement

Une image contenant texte, Police, écriture manuscrite, capture d’écran

Description générée automatiquement

Une image contenant texte, Police, capture d’écran, écriture manuscrite

Description générée automatiquement

 

 

Précédente

Accueil

Suivante