Précédente

Accueil

Suivante

 

 

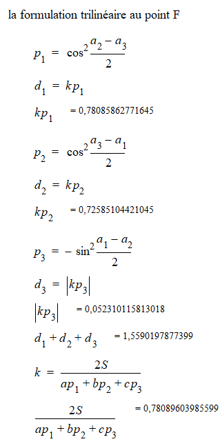
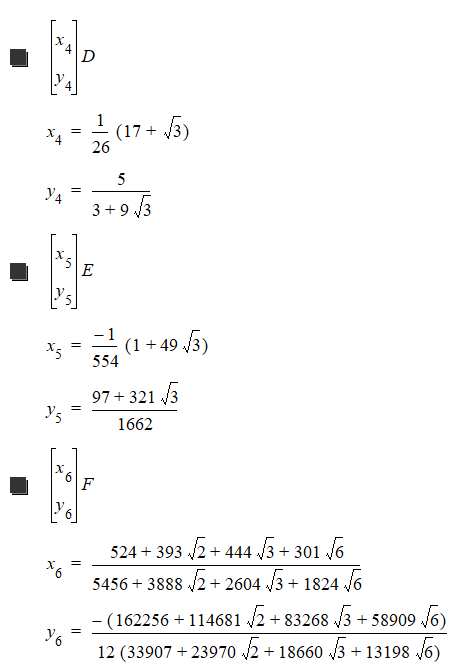
Le point de rencontre du cercle neuf-point avec le cercle externe du Tr-Q ABC

Une image contenant diagramme, ligne, texte

Description générée automatiquement

Une image contenant texte, Police, capture d’écran, nombre

Description générée automatiquement

Une image contenant texte, capture d’écran, Police, nombre

Description générée automatiquement

Une image contenant texte, capture d’écran, Police, diagramme

Description générée automatiquement

Une image contenant texte, capture d’écran, Police, écriture manuscrite

Description générée automatiquement

Une image contenant texte, capture d’écran, Police, écriture manuscrite

Description générée automatiquement

Une image contenant texte, capture d’écran, Police, écriture manuscrite

Description générée automatiquement

Une image contenant texte, diagramme, capture d’écran, Police

Description générée automatiquement

Une image contenant texte, capture d’écran, Police, nombre

Description générée automatiquement

Une image contenant texte, diagramme, capture d’écran, Police

Description générée automatiquement

 

 

Précédente

Accueil

Suivante