Précédente

Accueil

Suivante

 

 

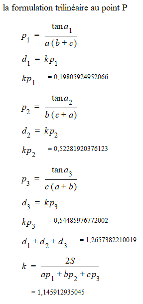
Le point X(27) – le conjugué beth de X(270) et de X(4247)

Une image contenant diagramme, texte, ligne, cercle

Description générée automatiquement

Une image contenant texte, capture d’écran, Police, nombre

Description générée automatiquement

Une image contenant texte, capture d’écran, Police, nombre

Description générée automatiquement

Une image contenant texte, capture d’écran, Police, nombre

Description générée automatiquement

 

 

Précédente

Accueil

Suivante