Précédente

Accueil

Suivante

 

 

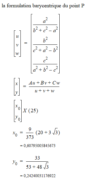
Le point X(25) – le conjugué isogonal de X(69)

Une image contenant texte, diagramme, ligne, cercle

Description générée automatiquement

Une image contenant texte, diagramme, capture d’écran

Description générée automatiquement

Une image contenant texte, capture d’écran, Police, écriture manuscrite

Description générée automatiquement

Une image contenant texte, capture d’écran, Police, diagramme

Description générée automatiquement

Une image contenant texte, capture d’écran, Police, nombre

Description générée automatiquement

 

 

Précédente

Accueil

Suivante