Précédente

Accueil

Suivante

 

 

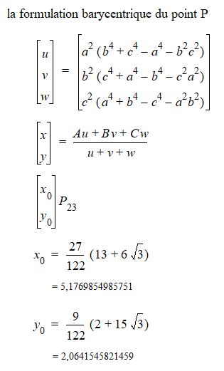
Le point (23)

Une image contenant texte, diagramme, ligne, Tracé

Description générée automatiquement

Une image contenant texte, capture d’écran, Police, diagramme

Description générée automatiquement

Une image contenant texte, écriture manuscrite, Police, capture d’écran

Description générée automatiquement

Une image contenant texte, capture d’écran, Police, écriture manuscrite

Description générée automatiquement

 

 

Précédente

Accueil

Suivante